中国科技核心期刊
中国应用型核心期刊
中国医药卫生核心期刊
中国高校优秀科技期刊
美国《化学文摘(CA)》收录
美国《剑桥科学文摘(CSA)》收录
波兰《哥白尼索引(IC)》收录
日本科学技术振兴机构数据库(JST)收录

过刊目录

  • 全选
    |
    目录
  • 目录
    2025, 35(05): 1.
    摘要 ( ) PDF全文 ( )   可视化   收藏
  • 新型给药系统专题
  • 新型给药系统专题
    翟颖, 余江南, 徐希明
    2025, 35(05): 369-375.
    摘要 ( ) PDF全文 ( )   可视化   收藏
    目的: 制备紫草素脂质体(shikonin-liposome,SHK-L)并初步评估其抗衰老功效。方法: 采用单因素试验法优化SHK-L处方,考察其体外释放情况和大鼠口服生物利用度。采用斑马鱼毒性实验评估其体内安全性,并通过对衰老斑马鱼进行β半乳糖苷酶染色来考察其抗衰老效果。结果: SHK-L的最优处方为紫草素6 mg,卵磷脂70 mg,胆固醇10 mg,维生素E聚乙二醇琥珀酸酯(TPGS)30 mg,十二烷基硫酸钠(SDS)1.5 mg。该制剂的平均粒径为(206.96±0.75) nm,多分散系数为0.186±0.030,包封率为(96.88±2.19)%,载药量为(5.36±0.01)%。与紫草素相比,SHK-L能提高药物的体外释放。体内药动学结果显示,SHK-L的相对生物利用度为原料药的413.37%。给药96 h后,紫草素与SHK-L对斑马鱼的LC50分别为(0.112±0.007) μg/mL和(0.141±0.012) μg/mL。结论: 制备的SHK-L使难溶性药物紫草素的溶解性增强,口服生物利用度提高,毒性降低,具有良好的抗衰老作用。

  • 新型给药系统专题
    沈鑫, 池昊, 唐唯佳, 童珊珊
    2025, 35(05): 376-380.
    摘要 ( ) PDF全文 ( )   可视化   收藏
    目的: 构建原肌球蛋白受体激酶A(TrkA)-脂筏@琼脂糖凝胶生物亲和色谱模型,并初步应用于TrkA靶向药的亲和吸附及稳定性研究。方法: 通过溴化氰固定配体的偶联反应制备TrkA-脂筏@琼脂糖凝胶固定相并表征,30 d内重复上样实验考查其稳定性。亲和吸附实验考查TrkA靶向药在空白琼脂糖凝胶柱和TrkA-脂筏@琼脂糖凝胶柱上的亲和吸附行为。结果: 蛋白免疫印迹结果显示,脂筏含有浮舰蛋白(Flotillin-1)、小窝蛋白(Caveolin-1)及TrkA蛋白。将U251细胞脂筏与琼脂糖凝胶偶联后,经过多倍柱体积缓冲液冲洗,脂筏仍能在柱床上实现较稳定的固载。吸附实验证明TrkA-脂筏@琼脂糖凝胶固定相具有特异性亲和吸附作用。结论: 成功构建了TrkA脂筏@琼脂糖凝胶生物亲和色谱模型,初步验证该模型的可行性与稳定性。

  • 新型给药系统专题
    陈嘉玲, 黄钰文, 陆科承, 何雪婷, 章马旭阳, 沈海俊
    2025, 35(05): 381-386.
    摘要 ( ) PDF全文 ( )   可视化   收藏
    目的: 开发一种搭载厌氧菌丁酸梭菌(C. butyricum)的伤口敷料,使其在常氧条件下产生抗菌物质并发挥产氢性能,并探究其选择性抑菌和清除活性氧的效果。方法: 将厌氧菌C. butyricum与好氧菌枯草芽孢杆菌(B. subtilis)同时包载于水凝胶中,制备出双联益生菌水凝胶(BC-gel),利用B. subtilis消耗水凝胶内部的氧气,从而为C. butyricum创造厌氧微环境,维持C. butyricum活性。平板计数法评价BC-gel的选择性抑菌效果;流式细胞术评价BC-gel的选择性清除活性氧效果。结果: BC-gel能有效抑制大肠埃希菌和耐甲氧西林金黄色葡萄球菌的增殖,但却能保持双歧杆菌和乳杆菌的正常生长;BC-gel具有清除·OH和ONOO-自由基的能力,而对O-2·和NO·则无显著降低作用。结论: BC-gel具有良好的选择性抗菌性能与选择性清除活性氧性能。

  • 新型给药系统专题
    朱梦婷1, 2, 孟胜喜2
    2025, 35(05): 387-391.
    摘要 ( ) PDF全文 ( )   可视化   收藏
    阿尔茨海默病(Alzheimer′s disease,AD)是常见的神经退行性疾病,现有药物疗效有限。中药单体因多靶点特性展现出治疗潜力,但其应用受限于生物利用度低、靶向性差等问题。纳米载体药物递送系统(nanocarrier drug delivery systems,NDDS)可有效跨越血脑屏障,提升药物稳定性与靶向性。本文综述了NDDS在中药单体递送中的应用进展,重点讨论其在AD治疗中的靶向策略、多机制干预及智能响应释放等方面的研究,并展望其面临的挑战与未来发展方向。

  • 基础医学
  • 基础医学
    陈双伟, 任永飞, 王玥, 蔡华忠
    2025, 35(05): 392-400.
    摘要 ( ) PDF全文 ( )   可视化   收藏
    目的: 探究胰腺癌放疗联合免疫治疗中的基因表达变化并筛选和验证其中的关键基因。方法: 取20只6~8周龄C57BL/6J雄性小鼠,随机均分为4组,分别为对照组、放疗组、免疫治疗组、放疗联合免疫治疗组,每组5只,通过皮下注射胰腺癌KPC细胞构建荷瘤小鼠模型,放疗组行8 Gy射线单次照射,免疫治疗组行单次腹腔注射PD-1单抗(200 μg/只),放疗联合免疫治疗组行单次8 Gy射线照射后腹腔注射PD-1单抗(200 μg/只),对照组无处理,7 d后取出瘤体,行转录组学测序;将表达显著的差异表达基因(differentially expressed genes,DEGs)进行GO、KEGG及Reactome功能注释分析,探索相关信号通路;将上调的DEGs行韦恩分析并取交集,结合生存分析筛选出关键基因,分析其表达情况,探究与免疫细胞浸润及免疫检查点的关系,并构建蛋白质相互作用网络分析其相互作用的基因群。构建两种胰腺癌KPC、PANC02细胞系C57BL/6J雄性小鼠皮下荷瘤模型,次日采用放疗联合免疫治疗,维持3 d;至第12天,取肿瘤组织,qRTPCR法检测关键基因mRNA在瘤体组织中的相对表达量。结果: 转录组测序分析结果显示,与放疗组、免疫治疗组相比,放疗联合免疫治疗组DEGs最为丰富,并主要参与代谢、免疫系统及信号转导方面相关的信号通路。将放疗组、免疫治疗组及放疗联合免疫组上调基因进行韦恩分析得到11个交集基因,通过生存分析,筛选出关键基因黏液病毒耐药1(myxovirus resistance 1,MX1),其在胰腺癌中高表达且与胰腺癌患者预后呈显著负相关(P<005)。胰腺癌中MX1 mRNA表达与中性粒细胞、树突状细胞浸润丰度呈正相关(r=0.413,0.333;P均<0.05),并与免疫检查点CD80、CD274、CD86表达呈正相关(P均<0.05)。MX1在胰腺癌中相互作用的基因群包括OASL1、RSAD2、IFIT1、IFIT2和IFIT3。qRT-PCR结果显示,在胰腺癌KPC、PANC02细胞荷瘤小鼠模型中,与对照组相比,放疗联合免疫治疗组MX1 mRNA相对表达量明显增加(P<0.05)。结论: 在胰腺癌放疗联合免疫治疗中MX1 mRNA相对表达明显增加,其可能是关键基因之一。

  • 基础医学
    孙琅, 彭伟, 沈晗, 余云生, 陈一欢, 陈磊, 丁英龙, 陈月秋, 沈振亚
    2025, 35(05): 401-409.
    摘要 ( ) PDF全文 ( )   可视化   收藏
    目的: 探讨人脐带间充质干细胞来源的外泌体(human umbilical cord mesenchymal stem cells derived exosomes,hucMSC-Exo)对急性心肌梗死(acute myocardial infarction,AMI)的治疗作用及潜在的机制。方法: 分离培养人脐带间充质干细胞(human umbilical cord mesenchymal stem cells,hucMSCs)并从培养液中提取外泌体。结扎小鼠左冠状动脉前降支构建AMI模型,将小鼠随机分为Sham组、AMI组、Exo组和Fer-1组,分别向各组缺血心肌边缘区注射PBS、PBS、hucMSC-Exo和经典的铁死亡抑制剂Ferrostatin-1(Fer-1)。通过对应试剂盒检测小鼠心肌组织抗氧化剂谷胱甘肽(GSH)和丙二醛(MDA)含量,并通过DHE探针检测活性氧(reactive oxygen species,ROS)水平,以评估小鼠心肌组织铁死亡严重程度;心脏超声、Masson染色评价小鼠心脏功能和纤维化水平。DMSO、Erastin和Erastin+hucMSC-Exo分别处理HL-1细胞并进行RNA测序,KEGG富集分析和聚类热图分析评估hucMSC-Exo治疗作用的潜在机制。CCK-8法检测hucMSC-Exo或hucMSC-Exo+BI-6C9联合处理后HL-1细胞的活力。qRT-PCR法检测小鼠梗死心肌组织中BH3相互作用结构域死亡激动剂(BH3-interaction domain death agonist,Bid)mRNA表达水平。结果: 与AMI组相比,Exo组和Fer-1组小鼠心肌梗死区域MDA、ROS水平显著降低,GSH含量增加,心肌纤维化减轻,心脏功能改善;其中Exo组小鼠相比Fer-1组在AMI后第28天治疗效果更加显著。KEGG富集分析显示被hucMSC-Exo逆转的基因主要富集在p53信号通路;聚类热图分析p53相关基因发现,Erastin组HL-1细胞的Bid基因表达较对照组显著升高,Exo组HL-1细胞的Bid表达水平较Erastin组明显降低。Bid抑制剂BI-6C9处理HL-1细胞后,hucMSC-Exo的治疗作用未明显增加。AMI组小鼠心脏组织Bid mRNA表达水平相比对照组大幅升高,Exo组较AMI组显著降低。结论: hucMSCExo能够通过抑制Bid表达减轻AMI后的铁死亡,改善心肌损伤。

  • 基础医学
    王煜灵1, 2, 张瑞琪1, 2, 王建良2, 陈雪莲2
    2025, 35(05): 410-420.
    摘要 ( ) PDF全文 ( )   可视化   收藏
    目的: 探究高迁移率族蛋白1(HMGB1)在三阴性乳腺癌(TNBC)细胞放射敏感性中的调控作用及其分子机制。方法: 通过癌症基因组图谱分析HMGB1在不同乳腺癌亚型中的表达水平及其与乳腺癌患者生存预后的关系。体外培养乳腺上皮细胞MCF-10A,非TNBC细胞株(MCF-7、SK-BR-3)和TNBC细胞株(MDA-MB-231、MDA-MB-436、MDA-MB-468),qRT-PCR和蛋白质印迹实验分别检测细胞中HMGB1 mRNA及蛋白表达水平;检测4 Gy X线照射不同时间点(0、24、48、72、96 h)细胞增殖情况,并检测不同剂量(0、2、4、6、8 Gy)X线照射后细胞的放射敏感性;分别利用质粒和慢病毒在MDA-MB-231细胞中敲低和过表达HMGB1,采用CCK-8、克隆形成及流式细胞实验检测4 Gy X线照射后细胞的增殖、克隆形成能力和凋亡水平的变化;免疫荧光实验检测不同剂量(0、4、8 Gy)X线照射后MDA-MB-231细胞核中HMGB1变化以及转染后细胞4 Gy X线照射处理72 h后细胞核、HMGB1以及γ-H2AX的变化;MDA-MB-231细胞进行0、4、8 Gy X线照射,shControl、shHMGB1-2、Vector、Flag-HMGB1组细胞进行4 Gy X线照射72 h后,蛋白质印迹实验检测细胞内p-AKT、AKT、p-GSK-3β、GSK-3β、Caspase 9、p-H2AX、HMGB1蛋白表达。此外,将MDA-MB-231细胞分为对照组、照射组、AKT抑制剂组、AKT抑制剂联合照射组,并检测细胞增殖抑制率;在不同处理组(Vector、Flag-HMGB1、Vector+AKT抑制剂、Flag-HMGB1+AKT抑制剂)中检测4 Gy X线照射后细胞增殖活力及pAKT/AKT、Caspase 9和p-H2AX蛋白表达变化。结果: HMGB1在TNBC中高表达,其高表达与患者不良预后相关。TNBC细胞株(MDA-MB-231、MDA-MB-436、MDA-MB-468)中HMGB1的mRNA和蛋白表达水平显著高于非TNBC细胞株(MCF-7、SK-BR-3),且前者放射敏感性较低。敲低HMGB1显著提高MDA-MB-231细胞的放射敏感性,而过表达HMGB1则显著降低其放射敏感性。敲低HMGB1,4 Gy X线照射后细胞p-AKT表达显著降低,p-GSK-3β及pH2AX表达显著升高;过表达HMGB1,4 Gy X线照射后细胞p-AKT表达显著升高,p-GSK-3β及p-H2AX表达显著降低。使用AKT抑制剂(AKTi-1/2)可显著阻断HMGB1促进放射抵抗的作用。结论: HMGB1在TNBC细胞中高表达,通过PI3K/AKT通路调节细胞放射敏感性,可能是TNBC放射抵抗的重要分子靶点。

  • 临床医学
  • 临床医学
    刘博文1, 蒋鹏程2, 王泽辉3, 王霄霄1, 王芷旋1, 彭晨1, 刘展鹏1, 卢超1, 潘冬刚1, 单秀红1
    2025, 35(05): 421-428.
    摘要 ( ) PDF全文 ( )   可视化   收藏
    目的: 构建一个端到端的深度学习网络,用于进展期胃癌CT影像T分期多分类任务。方法: 回顾性纳入423例胃癌患者的增强扫描静脉期CT图像,以8∶2的比例随机分为训练集和测试集。选用基于3D-nnUNet神经网络的深度学习自动分割模型用于进展期胃癌病灶的分割,同时构建基于SmallFocusNet网络的进展期胃癌T分期的多分类模型,最后,将自动分割模型与多分类模型集成,构建一个端到端的深度学习模型用于进展期胃癌CT-T分期诊断。以Dice相似度系数(DSC)、交并比(IoU)及95%豪斯多夫距离(HD_95)对分割模型性能进行评价;以ROC曲线下面积(AUC)、灵敏度、特异度对深度学习模型效能进行评价,并比较深度学习模型与放射科医生间的进展期胃癌T分期诊断效能。结果: 在测试集中,进展期胃癌自动分割模型的DSC和IoU分别为0.869±0.095、0.779±0.137;深度学习模型宏平均AUC值为0.882(95%CI:0.812~0.926),区分T2、T3、T4a期肿瘤AUC值分别为0.960(95%CI:0.915~0.990),0.739(95%CI:0.616~0.849),0.917(95%CI:0.812~0.926);平均灵敏度为0.769(95%CI:0.676~0.853),区分T2、T3、T4a期肿瘤的灵敏度分别为0.808(95%CI:0.654~0.923),0.750(95%CI:0.571~0.893),0.750(95%CI:0.594~0.906)。同时,深度学习模型对于进展期胃癌T分期诊断效能优于放射科医生。结论: 基于增强CT开发的融合多通道与注意力机制的端到端深度学习模型在进展期胃癌术前T分期诊断中有较高的准确性和一致性。

  • 临床医学
    赵思玉1, 高渊博1, 冯松涛2, 陶艾彬1
    2025, 35(05): 429-436.
    摘要 ( ) PDF全文 ( )   可视化   收藏
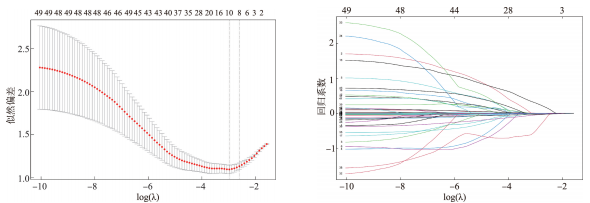
    目的: 探讨慢性心力衰竭急性发作患者利尿剂抵抗的危险因素并构建Nomogram模型,以期为早期识别利尿剂抵抗患者提供参考。方法: 回顾性纳入2021年1月至2024年8月江苏大学附属人民医院收治的215例慢性心力衰竭急性发作患者,根据利尿剂抵抗判定标准将其分为抵抗组和非抵抗组,收集两组患者基线资料。采用最小绝对收缩和选择算子(LASSO)回归行单因素筛选,然后采用多因素Logistic回归进一步筛选利尿剂抵抗的影响因素,以此构建Nomogram模型并进行内部验证。结果: LASSO回归筛选出6个变量,多因素Logistic回归进一步显示,N-末端B型利钠肽前体(NTproBNP)水平升高是发生利尿剂抵抗的危险因素[OR(95%CI):2.342(1.087~5.043),P<0.05];估算肾小球滤过率(eGFR)、血红蛋白、血钠、左室射血分数(LVEF)水平升高为保护因素[OR(95%CI)分别为0.978(0.965~0.990)、0.973(0.958~0.989)、0.893(0.822~0.971)、0.944(0.918~0.971),P均<0.05]。基于上述影响因素构建Nomogram模型,受试者工作特征(ROC)曲线下面积为0.846(95%CI:0.795~0.897)。校准曲线Hosmer-Lemeshow检验表明该模型拟合良好(P=0159)。决策曲线分析结果表明阈值概率在0%~87.0%时模型均具有良好的临床净收益。结论: 基于NT-proBNP、血红蛋白、血钠、eGFR和LVEF构建的Nomogram模型,能够有效评估慢性心力衰竭急性发作患者发生利尿剂抵抗的风险。

  • 临床医学
    张兆延1, 蒋佳凯1, 柏凯2, 张盛1
    2025, 35(05): 437-441.
    摘要 ( ) PDF全文 ( )   可视化   收藏
    目的: 探讨程序性死亡受体1(programmed death receptor 1,PD-1)和细胞毒性T淋巴细胞相关抗原4(cytotoxic T lymphocyteassociated antigen-4,CTLA-4)单核苷酸多态性(single nucleotide polymorphism,SNP)与原发性肝细胞肝癌(hepatocellular carcinoma,HCC)患者术后预后的相关性。方法: 纳入2002年1月至2012年12月接受肝脏部分切除术的HCC患者395例,通过基因分型鉴定PD-1及CTLA-4的SNP位点,采用Kaplan-Meier生存曲线评估患者的生存情况,采用Log-Rank检验行生存率比较;进一步通过Cox比例风险模型对影响患者预后的因素行多变量分析。结果: 共检测7个SNP位点,包括4个PD1基因的SNP(rs10204525、rs36084323、rs2227982、rs7421861)和3个CTLA-4基因的SNP(rs16840252、rs733618、rs231775)。其中,rs10204525、rs36084323和rs16840252与HCC患者术后预后呈显著相关(P<0.05),而其他位点未显示出显著相关性(P>0.05)。Cox回归分析结果显示,rs10204525、rs36084323和rs16840252为HCC患者术后预后的独立影响因素(P<0.05)。结论: PD-1基因SNP rs10204525和rs36084323以及CTLA-4基因SNP rs16840252与HCC患者术后预后显著相关,且为独立影响因素。

  • 临床医学
    覃湘松, 庞珍珍, 顾金花, 覃晓云, 莫胜林, 黄小红, 付凯, 陈涛, 张鹏, 蒋忠胜
    2025, 35(05): 442-447.
    摘要 ( ) PDF全文 ( )   可视化   收藏
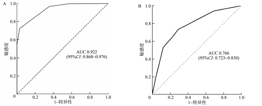
    目的: 探讨临床诊断活动性肺结核的影响因素,建立并验证活动性肺结核临床诊断模型。方法: 选择2020年1月至2023年12月于柳州市人民医院感染性疾病科住院患者958例,其中活动性肺结核658例,根据病原学结果将402例病原学阳性肺结核纳入建模组,256例病原学阴性肺结核纳入验模组;社区获得性肺炎300例,根据2∶1随机原则将200例纳入建模组,100例纳入验模组。对可能与活动性肺结核诊断相关的自变量,包括性别、年龄、体重指数(BMI)、个人史评分、临床表现评分、影像学指标评分、免疫学指标评分、血清腺苷脱氨酶和红细胞沉降率(ESR)等进行单因素分析;将有意义的变量(P<005)作为自变量,以活动性肺结核作为结局指标进行多因素Logistic回归分析;建立活动性肺结核的临床诊断模型,用ROC曲线评价模型的诊断预测效能;最后利用验模组数据进一步验证该模型的诊断效能。结果: 单因素分析结果显示,性别、年龄、BMI、临床表现评分、影像学指标评分、免疫学指标评分、腺苷脱氨酶和ESR等8个变量差异有统计学意义(P<0.05),个人史评分差异无统计学意义(P>0.05);多因素分析结果显示,BMI、临床表现评分、影像学指标评分和免疫学指标评分是诊断活动性肺结核的独立影响因素(P<0.05);活动性肺结核临床诊断模型=BMI×10+临床表现评分×14+免疫学指标评分×27+影像学指标评分×10。ROC曲线结果显示,建模组和验模组AUC分别为0.922(95%CI:0.868~0.976)和0.766(95%CI 0.723~0.830)。结论: BMI、临床表现评分、影像学指标评分和免疫学指标评分是临床诊断活动性肺结核的独立影响因素,基于此构建的临床诊断模型对病原学阴性肺结核活动性的判断有一定的预测价值。

  • 综述
  • 综述
    吕巧怡1, 景李聪1, 赵杨静1, 潘艳2, 邵启祥1, 3
    2025, 35(05): 448-454.
    摘要 ( ) PDF全文 ( )   可视化   收藏
    卵巢癌是女性生殖系统最常见的恶性肿瘤之一,其死亡率位居妇科恶性肿瘤之首,严重威胁女性健康。非编码RNA尤其是长链非编码RNA(long non-coding RNA,lncRNA)和微小RNA(microRNA,miRNA)在包括卵巢癌在内的多种疾病中发挥关键作用。近年来研究证实,lncRNA、miRNA和mRNA之间存在复杂的相互调节机制,不同RNA之间的作用失调在促进或抑制卵巢癌发生发展中起重要作用。本文针对lncRNA、miRNA和mRNA及其相互调控作用在卵巢癌进展和化疗耐药中的作用做一综述。

  • 综述
    严海新1, 2, Kwan Wyesen3, 刘志丹1, 2
    2025, 35(05): 455-460.
    摘要 ( ) PDF全文 ( )   可视化   收藏
    细胞自噬和凋亡对维持细胞稳态具有重要作用。低氧状态可诱发缺氧诱导因子-1α(hypoxia induce factor1α,HIF-1α)及其下游靶标Bcl2/腺病毒E1B相互作用蛋白3(BNIP3)表达,HIF-1α/BNIP3信号通路上调,从而促进自噬,减轻或改善细胞损伤;也可通过促进自噬,诱导细胞凋亡。但也存在调控的多样性,如在轻度缺氧情况下,通过增强自噬减轻缺氧/复氧诱导的心肌细胞损伤;而在重度缺氧情况下,则会通过增强自噬引起心肌细胞凋亡。本文梳理了HIF1α/BNIP3信号通路在不同疾病和低氧状态下对细胞自噬的调控机制,为疾病的诊治提供新的思路和切入点。